Упр.162 ГДЗ Мерзляк 9 класс (Алгебра)
Решение #1 (Учебник 2026)
Решение #2 (Учебник 2021)
Решение #3 (Учебник 2021)

Рассмотрим вариант решения задания из учебника Мерзляк, Полонская, Якир 9 класс, Просвещение:
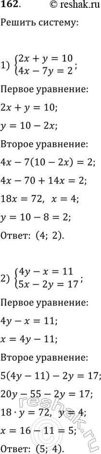
Решите способом подстановки систему уравнений:
1) {2x+y=10, 4x-7y=2}; 2) {4y-x=11, 5x-2y=17}.
Существует ли такое значение a, при котором любое число является решением неравенства
(в случае утвердительного ответа укажите это значение):
1) ах > -1 - 7х;
2) (а^2 - 16)х >= a + 4?
Похожие решебники
Популярные решебники 9 класс Все решебники
*К сожалению, временные проблемы с публикацией комментариев с мобильных устройств.