Упр.163 ГДЗ Мерзляк 9 класс (Алгебра)
Решение #1 (Учебник 2026)
Решение #2 (Учебник 2021)
Решение #3 (Учебник 2021)

Рассмотрим вариант решения задания из учебника Мерзляк, Полонская, Якир 9 класс, Просвещение:
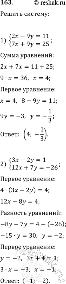
Решите способом сложения систему уравнений:
1) {2x-9y=11, 7x+9y=25}; 2) {3x-2y=1, 12x+7y=-26}.
Для каждого значения а решите неравенство:
1) ах > 0;
2) aх < 1 ;
3) ах >= а;
4) 2(х - а) < ах - 4;
5) (а - 2)х >= а^2 - 4;
6) (а + 3)х <= а^2 - 9.
Похожие решебники
Популярные решебники 9 класс Все решебники
*К сожалению, временные проблемы с публикацией комментариев с мобильных устройств.