Упр.92 ГДЗ Мерзляк Полонский 8 класс (Алгебра)
Решение #1 (Учебник 2025)
Решение #2 (Учебник 2025)
Решение #3 (Учебник 2019)
Решение #4 (Учебник 2019)

Рассмотрим вариант решения задания из учебника Мерзляк, Полонская, Якир 8 класс, Просвещение:
Вместо звездочки запишите такой одночлен, чтобы выполнялось равенство:
1) a2b * * = a2b2;
2) 5ху3 * * = 10х4у6;
3) 6x5 * * = 12x10.
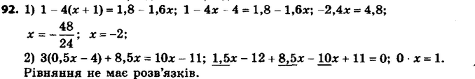
Решите уравнение:
1) 1 - 4(х+1)= 1,8 - 1,6x;
2) 3(0,5x-4) + 8,5х = 10х - 11.
Похожие решебники
Популярные решебники 8 класс Все решебники
*К сожалению, временные проблемы с публикацией комментариев с мобильных устройств.