Упр.906 ГДЗ Мерзляк 9 класс (Алгебра)
Решение #1 (Учебник 2021)
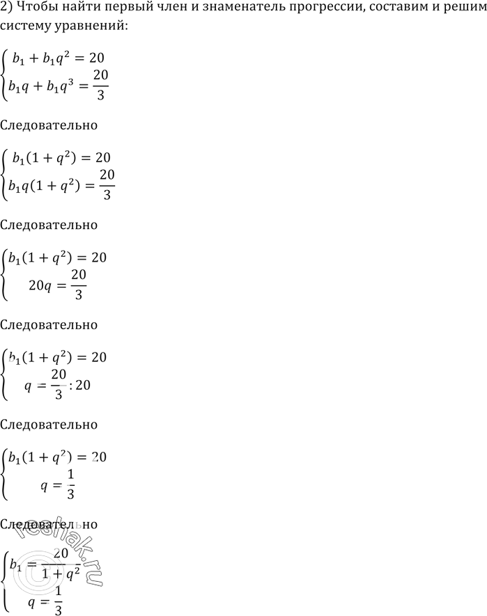
Решение #2 (Учебник 2021)

Рассмотрим вариант решения задания из учебника Мерзляк, Полонская, Якир 9 класс, Просвещение:
Найдите сумму бесконечной геометрической прогрессии (bn), если:
1) b3 = 4, b5 = 2;
2) b1 + b3 = 20, b2 + b4 = 20/3.
Похожие решебники
Популярные решебники 9 класс Все решебники
*размещая тексты в комментариях ниже, вы автоматически соглашаетесь с пользовательским соглашением