Упр.903 ГДЗ Мерзляк 8 класс (Алгебра)
Решение #1
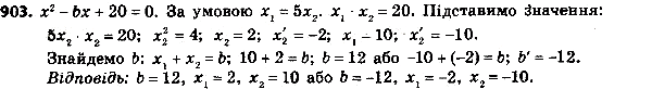
Решение #2

Рассмотрим вариант решения задания из учебника Мерзляк, Полонская, Якир 8 класс, Вентана-Граф:
903. Упростите выражение:
1) корень 64a + корень 4a - корень 121a;
2) корень 45 + корень 20 - корень 320;
3) 6 корень 125a - 2 корень 80a + 3 корень 180a.
Похожие решебники
Популярные решебники 8 класс Все решебники
*К сожалению, временные проблемы с публикацией комментариев с мобильных устройств.