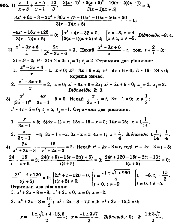
Упр.906 ГДЗ Мерзляк 8 класс (Алгебра)
Решение #1
Решение #2
Решение #3

Рассмотрим вариант решения задания из учебника Мерзляк, Полонская, Якир 8 класс, Вентана-Граф:
906. Освободитесь от иррациональности в знаменателе дроби:
1) a3/ корень b;
2) 7/ (a корень a);
3) 2/ корень 13;
4) 6/ корень 3;
5) (n+9)/ корень (n+9);
6) 3/ (корень 13 - 2);
7) 6/ (корень 21 + корень 15);
8) 18/ (корень 47 - корень 29).
Похожие решебники
Популярные решебники 8 класс Все решебники
*размещая тексты в комментариях ниже, вы автоматически соглашаетесь с пользовательским соглашением