Упр.907 ГДЗ Мерзляк Полонский 8 класс (Алгебра)
Решение #1 (Учебник 2025)
Решение #2 (Учебник 2019)

Рассмотрим вариант решения задания из учебника Мерзляк, Полонская, Якир 8 класс, Просвещение:
Известно, что -2 < b < 1. Сравните с нулём значение выражения:
1) b + 2;
2) 1 - b;
3) b - 2;
4) (b - 1)(b - 3);
5) (b + 2)(b - 4)^2;
6) (b - 3)(b + 3)/(b - 2)^2.
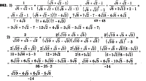
Освободитесь от иррациональности в знаменателе дроби:
1) 1/ (корень 6 + корень 2 + 1);
2) 2/ (корень 10 + корень 5 - корень 3).
Похожие решебники
Популярные решебники 8 класс Все решебники
*К сожалению, временные проблемы с публикацией комментариев с мобильных устройств.