Упр.88 ГДЗ Мерзляк 9 класс (Алгебра)
Решение #1 (Учебник 2024)
Решение #2 (Учебник 2021)
Решение #3 (Учебник 2021)
Решение #4 (Учебник 2021)

Рассмотрим вариант решения задания из учебника Мерзляк, Полонская, Якир 9 класс, Просвещение:
Оцените среднее арифметическое значений a и b, если известно, что 2,5 < a < 2,6 и 3,1 < b < 3,2.
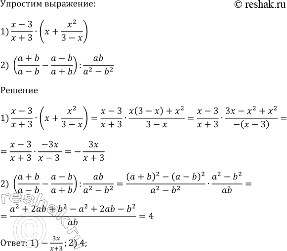
Упростите выражение:
1) (х - 3)/(х + 3) * (x + x^2/(3 - x));
2) ((а + b)/(а - b) - (a - b)/(а + b)) / ab/(a^2 - b^2).
Похожие решебники
Популярные решебники 9 класс Все решебники
*размещая тексты в комментариях ниже, вы автоматически соглашаетесь с пользовательским соглашением