Упр.92 ГДЗ Мерзляк 9 класс (Алгебра)
Решение #1 (Учебник 2026)
Решение #2 (Учебник 2021)
Решение #3 (Учебник 2026)
Решение #4 (Учебник 2026)

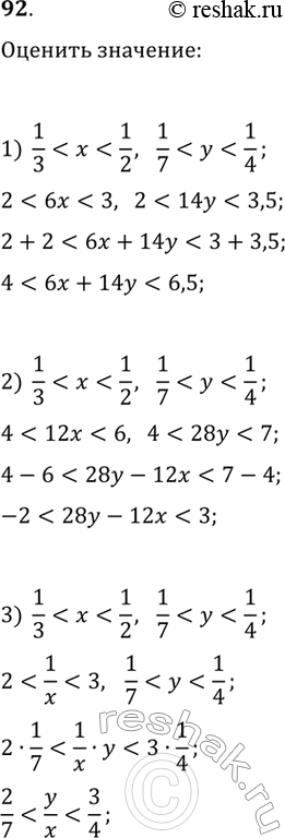
Рассмотрим вариант решения задания из учебника Мерзляк, Полонская, Якир 9 класс, Просвещение:
Дано: 1/3<x<1/2 и 1/7<y<1/4. Оцените значение выражения:
1) 6x+14y; 2) 28y-12x; 3) y/x.
Равносильны ли уравнения:
1) 4х + 6 = 2х - 3 и 4х + 3 = 2х - 6;
2) 8х - 4 = 0 и 2х - 1 = 0;
3) х^2 + 2х - 3 = 0 и х^2 + х = 3 - х;
4) (x^2 - 1)/(x + 1) = 0 и х^2 - 1 = 0;
5) (x^2 - 1)/(x + 1) = 0 и х - 1 = 0;
6) x^2 + 1 = 0 и 0х = 5?
Похожие решебники
Популярные решебники 9 класс Все решебники
*К сожалению, временные проблемы с публикацией комментариев с мобильных устройств.