Упр.837 ГДЗ Мерзляк 8 класс (Алгебра)
Решение #1
Решение #2
Решение #3

Рассмотрим вариант решения задания из учебника Мерзляк, Полонская, Якир 8 класс, Вентана-Граф:
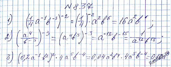
837. Упростите выражение:
1) (1/4 a^-1 b^-3)^-2;
2) (a4/b^-5)^-3;
3) (0,2a^-1 b2)2 * 4a5b^-4.
Похожие решебники
Популярные решебники 8 класс Все решебники
*размещая тексты в комментариях ниже, вы автоматически соглашаетесь с пользовательским соглашением