Упр.832 ГДЗ Мерзляк 8 класс (Алгебра)
Решение #1
Решение #2

Рассмотрим вариант решения задания из учебника Мерзляк, Полонская, Якир 8 класс, Вентана-Граф:
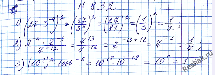
832. Вычислите:
1) (27 * 3^-4)2;
2) (7^-4 * 7^-9)/7^-12;
3) (10^9)2 * 1000^-6.
Похожие решебники
Популярные решебники 8 класс Все решебники
*К сожалению, временные проблемы с публикацией комментариев с мобильных устройств.