Упр.779 ГДЗ Мерзляк Полонский 8 класс (Алгебра)
Решение #1 (Учебник 2025)
Решение #2 (Учебник 2025)
Решение #3 (Учебник 2019)
Решение #4 (Учебник 2019)

Рассмотрим вариант решения задания из учебника Мерзляк, Полонская, Якир 8 класс, Просвещение:
Корни уравнения х2 + bх + с = 0 равны его коэффициентам b и с. Найдите b и с.
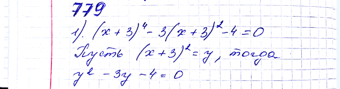
Решите уравнение:
1) (x + 3)4 - 3(x + 3)2 - 4 = 0;
2) (2х + 1)4 - 10(2x + 1)2 + 9 = 0;
3) (6x - 7)4 + 4(6x - 7)2 + 3 = 0;
4) (x - 4)4 + 2(x - 4)2 - 8 = 0.
Похожие решебники
Популярные решебники 8 класс Все решебники
*К сожалению, временные проблемы с публикацией комментариев с мобильных устройств.