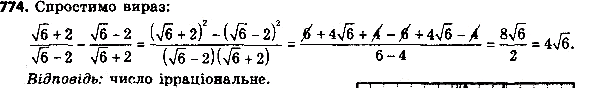
Упр.774 ГДЗ Мерзляк 8 класс (Алгебра)
Решение #1
Решение #2
Решение #3

Рассмотрим вариант решения задания из учебника Мерзляк, Полонская, Якир 8 класс, Вентана-Граф:
774. Рассматриваются все прямоугольники, длины сторон которых — натуральные числа. Каких прямоугольников больше: с периметром 1000 или с периметром 1002?
Похожие решебники
Популярные решебники 8 класс Все решебники
*К сожалению, временные проблемы с публикацией комментариев с мобильных устройств.