Упр.784 ГДЗ Мерзляк Полонский 8 класс (Алгебра)
Решение #1 (Учебник 2025)
Решение #2 (Учебник 2025)
Решение #3 (Учебник 2019)
Решение #4 (Учебник 2019)

Рассмотрим вариант решения задания из учебника Мерзляк, Полонская, Якир 8 класс, Просвещение:
Не выполняя построения, найдите координаты точек пересечения графиков функций у = х2 и у = х + 2. Начертите графики данных функций и отметьте найденные точки.
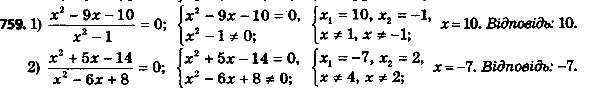
Решите уравнение:
1) (x2 - 9x - 10)/(x2 - 1) = 0;
2) (x2 + 5x - 14)/(x2 - 6x + 8) = 0.
Похожие решебники
Популярные решебники 8 класс Все решебники
*К сожалению, временные проблемы с публикацией комментариев с мобильных устройств.