Упр.777 ГДЗ Мерзляк Полонский 8 класс (Алгебра)
Решение #1 (Учебник 2025)
Решение #2 (Учебник 2025)
Решение #3 (Учебник 2019)
Решение #4 (Учебник 2019)

Рассмотрим вариант решения задания из учебника Мерзляк, Полонская, Якир 8 класс, Просвещение:
Найдите все целые значения b, при которых имеет целые корни уравнение:
1) х2 + bх + 6 = 0;
2) х2 + bх - 12 = 0.
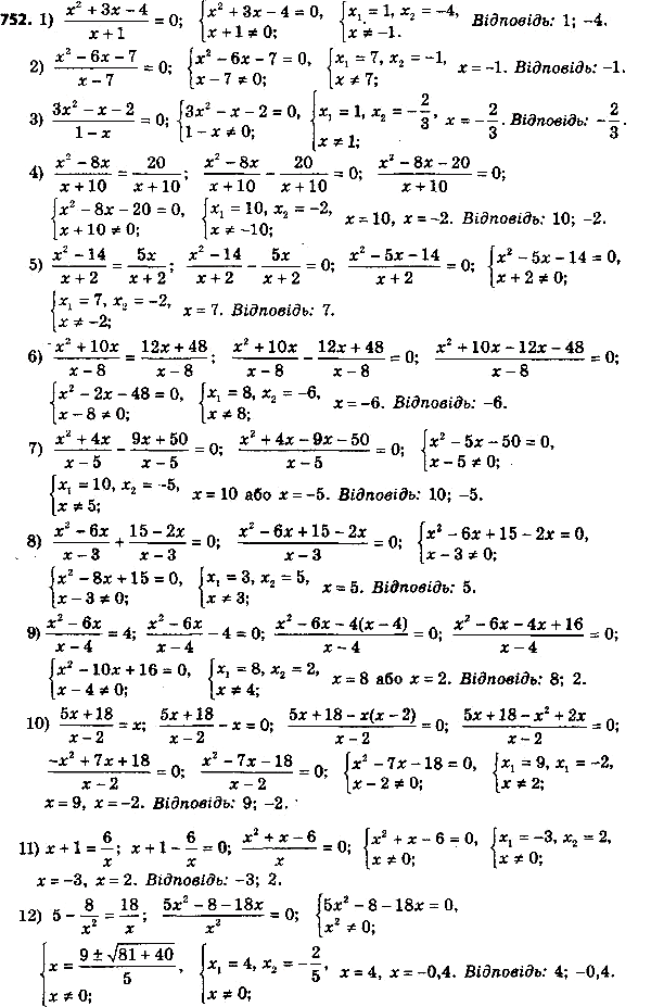
Решите уравнение:
1) (x2 + 3x - 4)/(x + 1) = 0;
2) (x2 - 6x - 7)/(x - 7) = 0;
Похожие решебники
Популярные решебники 8 класс Все решебники
*К сожалению, временные проблемы с публикацией комментариев с мобильных устройств.