Упр.769 ГДЗ Мерзляк 8 класс (Алгебра)
Решение #1
Решение #2
Решение #3

Рассмотрим вариант решения задания из учебника Мерзляк, Полонская, Якир 8 класс, Вентана-Граф:
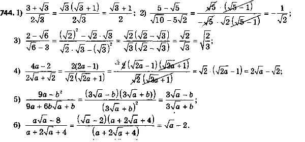
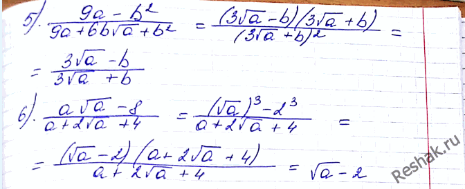
769. Сократите дробь:
1) (3 + корень 3)/(2 корень 3);
2) (5 - корень 5)/(корень 10 - 5 корень 2);
3) (2 - корень 6)/(корень 6 - 3);
Похожие решебники
Популярные решебники 8 класс Все решебники
*К сожалению, временные проблемы с публикацией комментариев с мобильных устройств.