Упр.767 ГДЗ Мерзляк 9 класс (Алгебра)
Решение #1 (Учебник 2024)
Решение #2 (Учебник 2021)
Решение #3 (Учебник 2021)

Рассмотрим вариант решения задания из учебника Мерзляк, Полонская, Якир 9 класс, Просвещение:
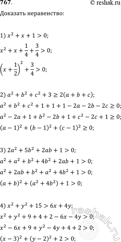
Докажите неравенство:
1) x^2+x+1>0; 3) 2a^2+5b^2+2ab+1>0;
2) a^2+b^2+c^2+3?2(a+b+c); 4) x^2+y^2+15>6x+4y.
Места в секторе цирка расположены так, что в первом ряду 6 мест, а в каждом следующем на 3 места больше, чем в предыдущем.
Сколько мест в секторе, если в нём 16 рядов?
Похожие решебники
Популярные решебники 9 класс Все решебники
*размещая тексты в комментариях ниже, вы автоматически соглашаетесь с пользовательским соглашением