Упр.762 ГДЗ Мерзляк 9 класс (Алгебра)
Решение #1 (Учебник 2024)
Решение #2 (Учебник 2021)
Решение #3 (Учебник 2021)

Рассмотрим вариант решения задания из учебника Мерзляк, Полонская, Якир 9 класс, Просвещение:
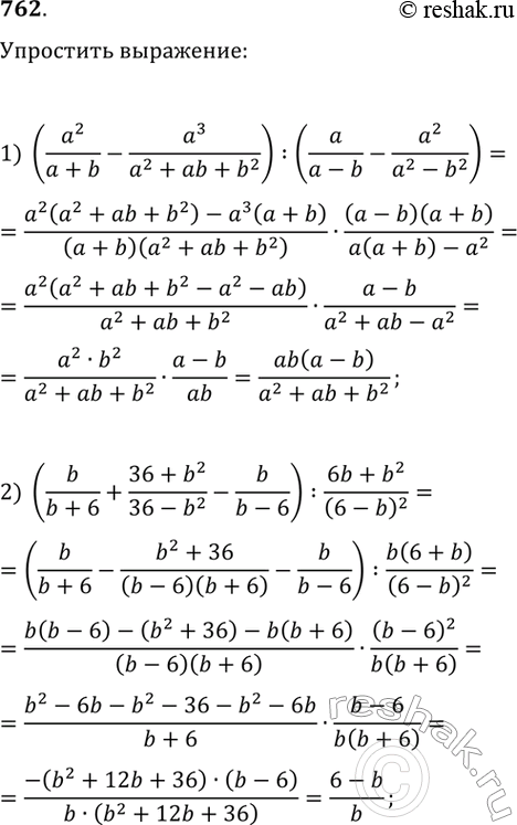
Упростите выражение:
1) (a^2/(a+b)-a^3/(a^2+ab+b^2)):(a/(a-b)-a^2/(a^2-b^2));
2) (b/(b+6)+(36+b^2)/(36-b^2)-b/(b-6)):(6b+b^2)/(6-b)^2.
Рабочий должен был за определённый срок изготовить 216 деталей.
Первые три дня он выполнял установленную ежедневную норму, а потом стал изготавливать ежедневно на 8 деталей сверх нормы.
За один день до конца срока было изготовлено 232 детали.
Сколько деталей в день должен был изготавливать рабочий в соответствии с нормой?
Похожие решебники
Популярные решебники 9 класс Все решебники
*размещая тексты в комментариях ниже, вы автоматически соглашаетесь с пользовательским соглашением