Упр.764 ГДЗ Мерзляк 9 класс (Алгебра)
Решение #1 (Учебник 2024)
Решение #2 (Учебник 2021)
Решение #3 (Учебник 2021)

Рассмотрим вариант решения задания из учебника Мерзляк, Полонская, Якир 9 класс, Просвещение:
Решите уравнение:
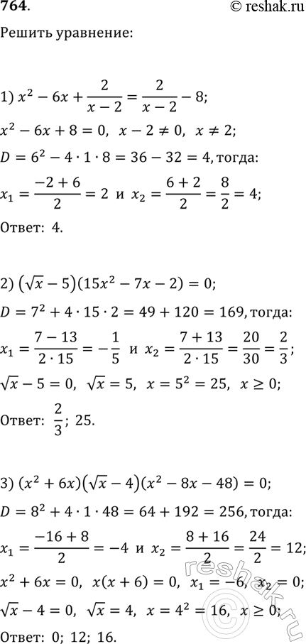
1) x^2-6x+2/(x-2)=2/(x-2)-8;
2) (vx-5)(15x^2-7x-2)=0;
3) (x^2+6x)(vx-4)(x^2-8x-48)=0.
Чему равна сумма шести первых членов арифметической прогрессии (bn), если b1 = 19 и b6 = 14?
Похожие решебники
Популярные решебники 9 класс Все решебники
*размещая тексты в комментариях ниже, вы автоматически соглашаетесь с пользовательским соглашением