Упр.766 ГДЗ Мерзляк 9 класс (Алгебра)
Решение #1 (Учебник 2024)
Решение #2 (Учебник 2021)
Решение #3 (Учебник 2021)

Рассмотрим вариант решения задания из учебника Мерзляк, Полонская, Якир 9 класс, Просвещение:
Решите уравнение:
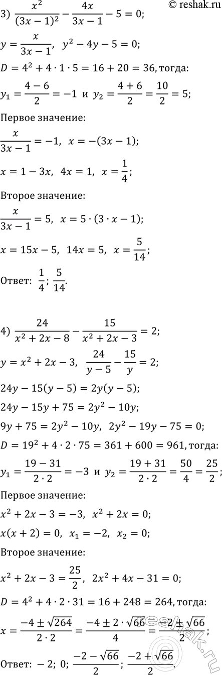
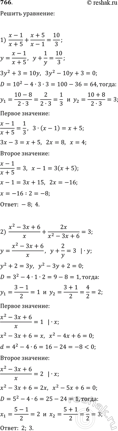
1) (x-1)/(x+5)+(x+5)/(x-1)=10/3; 3) x^2/(3x-1)^2-4x/(3x-1)-5=0;
2) (x^2-3x+6)/x+2x/(x^2-3x+6)=3; 4) 24/(x^2+2x-8)-15/(x^2+2x-3)=2.
Вычислите сумму двадцати первых членов арифметической прогрессии -8, -6, -4, ... .
Похожие решебники
Популярные решебники 9 класс Все решебники
*размещая тексты в комментариях ниже, вы автоматически соглашаетесь с пользовательским соглашением