Упр.757 ГДЗ Мерзляк 9 класс (Алгебра)
Решение #1 (Учебник 2024)
Решение #2 (Учебник 2024)
Решение #3 (Учебник 2021)
Решение #4 (Учебник 2021)

Рассмотрим вариант решения задания из учебника Мерзляк, Полонская, Якир 9 класс, Просвещение:
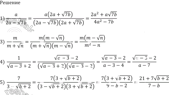
Освободитесь от иррациональности в знаменателе дроби:
1) a/(2a - корень(7b));
2) (p - 3)/(корень(4 - p) - 1);
3) m/(m + корень(n));
4) 1/(корень(a - 3) + 2);
5) 7/(3 - корень(b + 2)).
Решите систему уравнений:
1) система
x^2 - 3у^2 = 46,
х + у = 6;
2) система
x^2 - 2у^2 = -4,
х^2 + 2у^2 = 12.
Похожие решебники
Популярные решебники 9 класс Все решебники
*размещая тексты в комментариях ниже, вы автоматически соглашаетесь с пользовательским соглашением