Упр.738 ГДЗ Мерзляк Полонский 8 класс (Алгебра)
Решение #1 (Учебник 2025)
Решение #2 (Учебник 2025)
Решение #3 (Учебник 2019)
Решение #4 (Учебник 2019)

Рассмотрим вариант решения задания из учебника Мерзляк, Полонская, Якир 8 класс, Просвещение:
В книге недостаёт нескольких листов. На левой странице разворота стоит номер страницы 24, а на правой — номер 53. Сколько листов недостаёт между этими страницами?
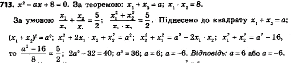
Корни x1 и х2 уравнения х2 - ах + 8 = 0 удовлетворяют условию x1/x2 + x2/x1 = 5/2. Найдите значение а.
Похожие решебники
Популярные решебники 8 класс Все решебники
*К сожалению, временные проблемы с публикацией комментариев с мобильных устройств.