Упр.742 ГДЗ Мерзляк 8 класс (Алгебра)
Решение #1
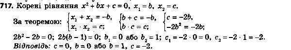
Решение #2
Решение #3

Рассмотрим вариант решения задания из учебника Мерзляк, Полонская, Якир 8 класс, Вентана-Граф:
742. Корни уравнения х2 + bх + с = 0 равны его коэффициентам b и с. Найдите b и с.
Похожие решебники
Популярные решебники 8 класс Все решебники
*К сожалению, временные проблемы с публикацией комментариев с мобильных устройств.