Упр.732 ГДЗ Мерзляк Полонский 8 класс (Алгебра)
Решение #1 (Учебник 2025)
Решение #2 (Учебник 2025)
Решение #3 (Учебник 2019)
Решение #4 (Учебник 2019)

Рассмотрим вариант решения задания из учебника Мерзляк, Полонская, Якир 8 класс, Просвещение:
При каком значении b имеет единственный корень уравнение:
1) bх2 - 6x - 7 = 0;
2) (b + 5)х2- (b + 6)х + 3 = 0;
3) (b - 4)х2 + (2b - 8)x + 15 = 0?
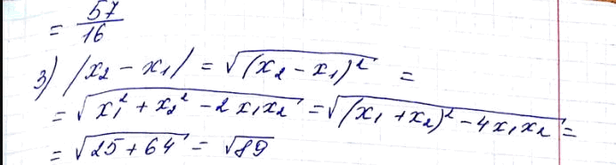
Известно, что x1 и x2 — корни уравнения х2 + 5x - 16 = 0. Не решая уравнение, найдите значение выражения:
1) x1^2 x2 + x2^2 x1;
2) x2/x1 + x1/x2;
3) |x2 - x1|.
Похожие решебники
Популярные решебники 8 класс Все решебники
*К сожалению, временные проблемы с публикацией комментариев с мобильных устройств.