Упр.713 ГДЗ Мерзляк 8 класс (Алгебра)
Решение #1
Решение #2
Решение #3

Рассмотрим вариант решения задания из учебника Мерзляк, Полонская, Якир 8 класс, Вентана-Граф:
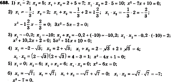
713. Составьте квадратное уравнение c целыми коэффициентами, корни которого равны:
1) 2 и 5;
2) -1/3 и 2;
3) -0,2 и -10;
4) 2 - корень 3 и 2 + корень 3;
5) 0 и 6;
6) -корень 7 и корень 7?.
Похожие решебники
Популярные решебники 8 класс Все решебники
*размещая тексты в комментариях ниже, вы автоматически соглашаетесь с пользовательским соглашением