Упр.71 ГДЗ Мерзляк Полонский 8 класс (Алгебра)
Решение #1 (Учебник 2025)
Решение #2 (Учебник 2025)
Решение #3 (Учебник 2019)
Решение #4 (Учебник 2019)

Рассмотрим вариант решения задания из учебника Мерзляк, Полонская, Якир 8 класс, Просвещение:
Упростите выражение:
1) x/(y-1) + 2/(1-y);
2) 3c/(c-d) + 3d/(d-c);
3) (3m+2n)/(2m-3n) - (m-8n)/(3n-2m);
4) b2/(2b-14) + 49/(14-2b).
Упростите выражение:
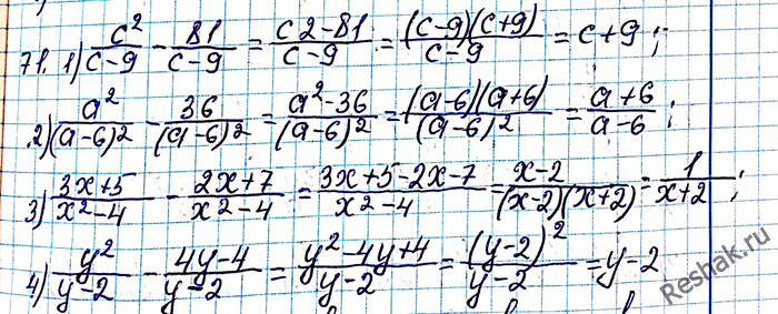
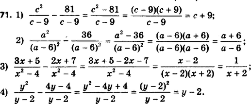
1) c2/(c-9) - 81/(c-9);
2) a2/(a-6)2 - 36/(a-6)2;
Похожие решебники
Популярные решебники 8 класс Все решебники
*К сожалению, временные проблемы с публикацией комментариев с мобильных устройств.