Упр.72 ГДЗ Мерзляк Полонский 8 класс (Алгебра)
Решение #1 (Учебник 2025)
Решение #2 (Учебник 2025)
Решение #3 (Учебник 2019)
Решение #4 (Учебник 2019)

Рассмотрим вариант решения задания из учебника Мерзляк, Полонская, Якир 8 класс, Просвещение:
Найдите значение выражения:
1) (a2-48)/(a-8) - 16/(a-8) при a=32;
2) (c2+3c+7)/(c3-8) + (c+3)/(8-c3) при c=-3.
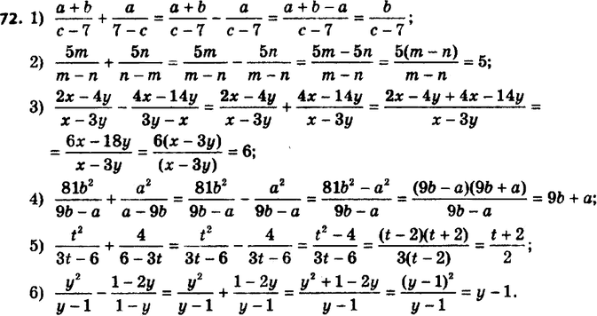
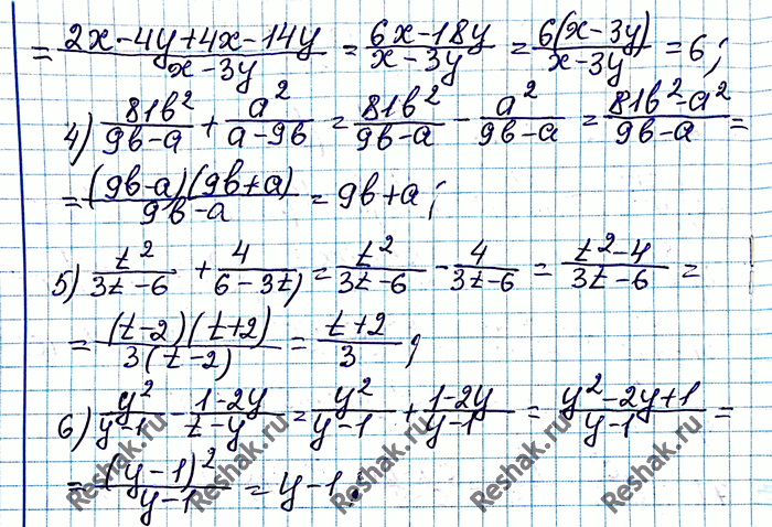
Выполните действия:
1) (a+b)/(c-7) + a/(7-c);
2) 5m/(m-n) + 5n/(n-m);
3) (2x-4y)/(x-3y) - (4x-14y)/(3y-x);
Похожие решебники
Популярные решебники 8 класс Все решебники
*К сожалению, временные проблемы с публикацией комментариев с мобильных устройств.