Упр.68 ГДЗ Мерзляк Полонский 8 класс (Алгебра)
Решение #1 (Учебник 2025)
Решение #2 (Учебник 2025)
Решение #3 (Учебник 2019)
Решение #4 (Учебник 2019)

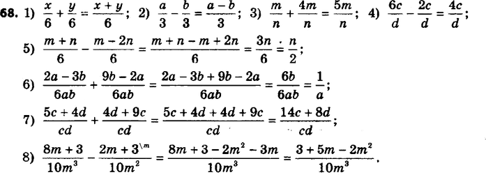
Рассмотрим вариант решения задания из учебника Мерзляк, Полонская, Якир 8 класс, Просвещение:
Упростите выражение:
1) a2/(a+3) - 9/(a+3);
2) t/(t2-16) - 4/(t2-16);
3) m2/(m-5)2 - 25/(m-5)2;
Выполните действия:
1) x/6 + y/6;
2) a/3 - b/3;
3) m/n + 4m/n;
4) 6c/d - 2c/d;
Похожие решебники
Популярные решебники 8 класс Все решебники
*К сожалению, временные проблемы с публикацией комментариев с мобильных устройств.