Упр.75 ГДЗ Мерзляк 8 класс (Алгебра)
Решение #1
Решение #2
Решение #3

Рассмотрим вариант решения задания из учебника Мерзляк, Полонская, Якир 8 класс, Вентана-Граф:
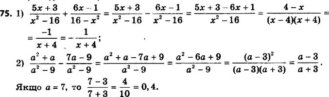
75. Найдите значение выражения:
1) (5x+3)/(x2-16) + (6x-1)/(16-x2) при x = -4,1;
2) (a2+a)/(a2-9) - (7a-9)/(a2-9) при a = 7.
Похожие решебники
Популярные решебники 8 класс Все решебники
*К сожалению, временные проблемы с публикацией комментариев с мобильных устройств.