🔥ГДЗ под запретом?

Упр.646 ГДЗ Никольский Потапов 9 класс (Алгебра)

Решение #1

Изображение 646. Вычислите:a) cos 75° • cos 105°;	б) sin 75° • sin 15°;в) cos75°/2•cos15°/2 ;	г) sin 105° • cos...

Решение #2

Изображение 646. Вычислите:a) cos 75° • cos 105°;	б) sin 75° • sin 15°;в) cos75°/2•cos15°/2 ;	г) sin 105° • cos...

Рассмотрим вариант решения задания из учебника Никольский, Потапов 9 класс, Просвещение:
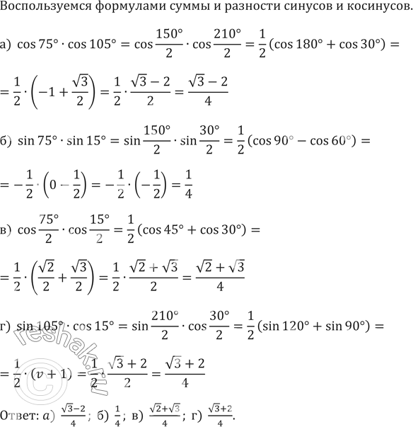
646. Вычислите:
a) cos 75° • cos 105°; б) sin 75° • sin 15°;
в) cos75°/2•cos15°/2 ; г) sin 105° • cos 15°.
*Цитирирование задания со ссылкой на учебник производится исключительно в учебных целях для лучшего понимания разбора решения задания.
*К сожалению, временные проблемы с публикацией комментариев с мобильных устройств.