🔥ГДЗ под запретом?

Упр.642 ГДЗ Никольский Потапов 9 класс (Алгебра)

Решение #1

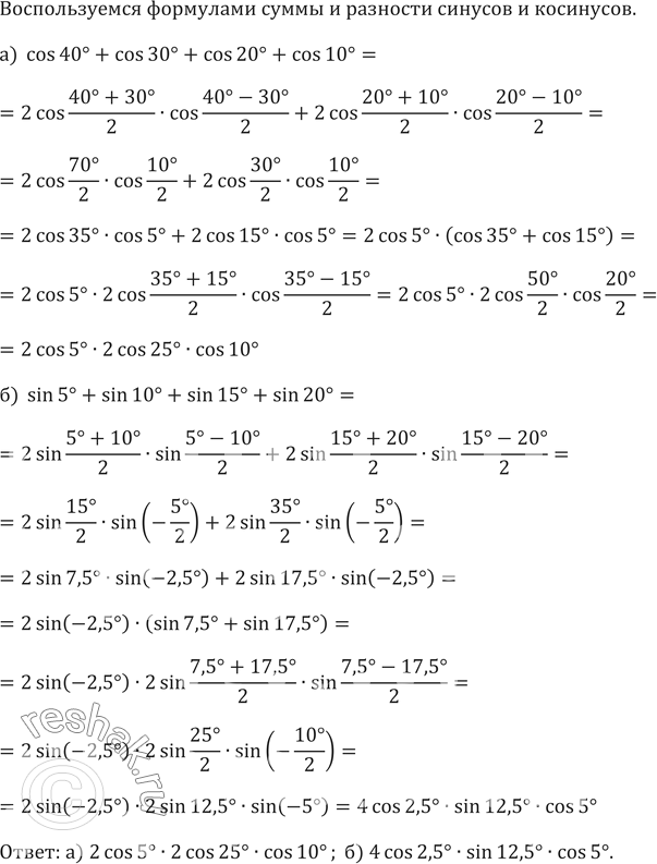
Изображение 642. a) cos 40° + cos 30° + cos 20° + cos 10°;б) sin 5° + sin 10° + sin 15° + sin...

Решение #2

Изображение 642. a) cos 40° + cos 30° + cos 20° + cos 10°;б) sin 5° + sin 10° + sin 15° + sin...

Рассмотрим вариант решения задания из учебника Никольский, Потапов 9 класс, Просвещение:
642. a) cos 40° + cos 30° + cos 20° + cos 10°;
б) sin 5° + sin 10° + sin 15° + sin 20°.
*Цитирирование задания со ссылкой на учебник производится исключительно в учебных целях для лучшего понимания разбора решения задания.
*К сожалению, временные проблемы с публикацией комментариев с мобильных устройств.