Упр.620 ГДЗ Мерзляк Полонский 8 класс (Алгебра)
Решение #1 (Учебник 2025)
Решение #2 (Учебник 2019)
Решение #3 (Учебник 2019)

Рассмотрим вариант решения задания из учебника Мерзляк, Полонская, Якир 8 класс, Просвещение:
На координатной прямой отметили точку А (рис. 52), координата которой равна одному из данных чисел:
1) корень из 3; 2) корень из 7; 3) корень из 11; 4) корень из 15.
Укажите это число.
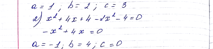
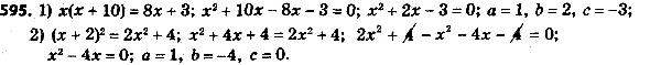
Представьте данное уравнение в виде ах2 + bх + c = 0, укажите значения коэффициентов а, b и с:
1) х(х + 10) = 8x + 3;
2) (x + 2)2 = 2x2 + 4.
Похожие решебники
Популярные решебники 8 класс Все решебники
*К сожалению, временные проблемы с публикацией комментариев с мобильных устройств.