Упр.6.92 ГДЗ Дорофеев Суворова 7 класс (Алгебра)
Решение #1

Рассмотрим вариант решения задания из учебника Дорофеев, Суворова, Бунимович 7 класс, Просвещение:
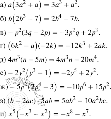
Выполните умножение:
а) а(3а2 + а);
б) b(2b3-7);
в) -p2(3q - 2р);
г) (6k2 - а)(-2k);
д) 4m3(n-5m);
е) -2у2(у3 - 1);
ж) -5р2(2р4 - 3);
з) (b - 2ас) * 5аb;
и) х5(-х3 - х2).
Популярные решебники 7 класс Все решебники
*размещая тексты в комментариях ниже, вы автоматически соглашаетесь с пользовательским соглашением