Упр.6.95 ГДЗ Дорофеев Суворова 7 класс (Алгебра)
Решение #1

Рассмотрим вариант решения задания из учебника Дорофеев, Суворова, Бунимович 7 класс, Просвещение:
Упростите выражение (686—687).
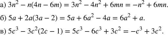
686 а) 3n2 - n(4n - 6m);
б) 5а + 2а(3а - 2);
в) 5с3 - 3с2(2с - 1).
Популярные решебники 7 класс Все решебники
*размещая тексты в комментариях ниже, вы автоматически соглашаетесь с пользовательским соглашением