Упр.6.96 ГДЗ Дорофеев Суворова 7 класс (Алгебра)
Решение #1

Рассмотрим вариант решения задания из учебника Дорофеев, Суворова, Бунимович 7 класс, Просвещение:
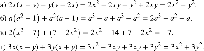
а) 2х(х -у)- у(у - 2х);
б) а(а2 - 1) + а2(а - 1);
в) 2(х2 - 7) + (7 - 2x2);
г) 3х(х - у) + 3у(х + у).
Популярные решебники 7 класс Все решебники
*размещая тексты в комментариях ниже, вы автоматически соглашаетесь с пользовательским соглашением