Упр.6.77 ГДЗ Дорофеев Суворова 7 класс (Алгебра)
Решение #1

Рассмотрим вариант решения задания из учебника Дорофеев, Суворова, Бунимович 7 класс, Просвещение:
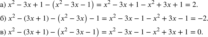
Анализируем и рассуждаем Не меняя ни одного знака, расставьте скобки так, чтобы выполнялось равенство:
а) х2 - 3х + 1 - х2 - 3х - 1 = 2;
б) х2 - 3х + 1 - х2 - 3x - 1 = -2;
в) х2 - 3х + 1 - х2 - 3х - 1 =0.
Популярные решебники 7 класс Все решебники
*К сожалению, временные проблемы с публикацией комментариев с мобильных устройств.