Упр.6.73 ГДЗ Дорофеев Суворова 7 класс (Алгебра)
Решение #1

Рассмотрим вариант решения задания из учебника Дорофеев, Суворова, Бунимович 7 класс, Просвещение:
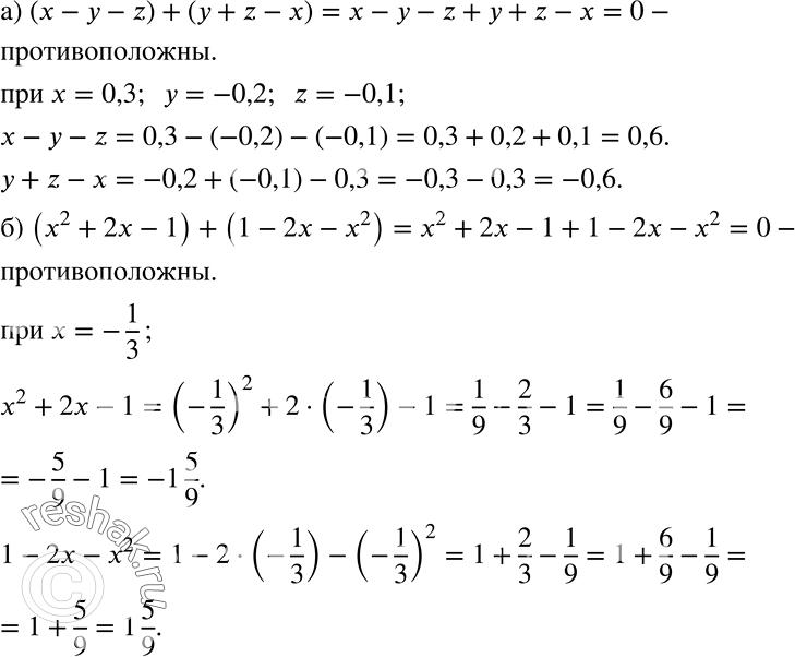
Рассуждаем Убедитесь в том, что данные многочлены противоположны, и найдите значение каждого из них при заданных значениях переменных:
а) x-y-z и у + z-x при х = 0,3, у = -0,2, z = -0,1;
б) х2 + 2х - 1 и 1 — 2x — x2 при х = -1/3.
Популярные решебники 7 класс Все решебники
*К сожалению, временные проблемы с публикацией комментариев с мобильных устройств.