Упр.6.76 ГДЗ Дорофеев Суворова 7 класс (Алгебра)
Решение #1

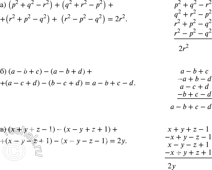
Рассмотрим вариант решения задания из учебника Дорофеев, Суворова, Бунимович 7 класс, Просвещение:
Упростите выражение, расположив слагаемые в столбик:
а) (р2 + q2 - r2) + (q2 + r2 -р2) + (r2 + р2 - q2) + (r2 -р2 - q2);
б) (а - b + с) - (а - b + d) + (а - с + d) - (b - с + d);
в) (х + у + z - 1)-(х - у + z + 1) + (x-y-z + 1) — (х — у — z — 1).
Популярные решебники 7 класс Все решебники
*К сожалению, временные проблемы с публикацией комментариев с мобильных устройств.