Упр.6.75 ГДЗ Дорофеев Суворова 7 класс (Алгебра)
Решение #1

Рассмотрим вариант решения задания из учебника Дорофеев, Суворова, Бунимович 7 класс, Просвещение:
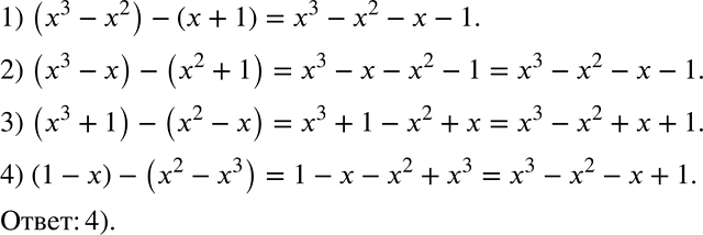
Многочлен х3 - х2 - х + 1 представили в виде разности двучленов. Найдите эту разность среди приведённых ниже выражений.
1) (х3 - х2) - (х + 1)
2) (х3 - х) - (х2 + 1)
3) (х3 + 1) - (х2 - х)
4) (1 - х) - (х2 - х3)
Популярные решебники 7 класс Все решебники
*К сожалению, временные проблемы с публикацией комментариев с мобильных устройств.