Упр.6.6 ГДЗ Дорофеев Суворова 7 класс (Алгебра)
Решение #1

Рассмотрим вариант решения задания из учебника Дорофеев, Суворова, Бунимович 7 класс, Просвещение:
Применяем алгебру (532 — 533)
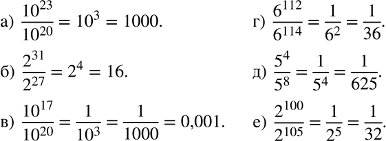
532 Чему равно значение выражения?
а) 10^23/10^20;
б) 2^31/2^27;
в) 10^17/10^20;
г) 6^112/6^114;
д) 5^4/5^8;
е) 2^100/2^105.
Популярные решебники 7 класс Все решебники
*размещая тексты в комментариях ниже, вы автоматически соглашаетесь с пользовательским соглашением