Упр.6.5 ГДЗ Дорофеев Суворова 7 класс (Алгебра)
Решение #1

Рассмотрим вариант решения задания из учебника Дорофеев, Суворова, Бунимович 7 класс, Просвещение:
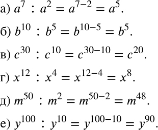
Выполните деление:
а) а7: а2;
б) b10 : b5;
в) с30 : с10;
г) х12: х4;
д) m50 : m2;
е) у100 : у10.
Популярные решебники 7 класс Все решебники
*размещая тексты в комментариях ниже, вы автоматически соглашаетесь с пользовательским соглашением