Упр.6.3 ГДЗ Дорофеев Суворова 7 класс (Алгебра)
Решение #1

Рассмотрим вариант решения задания из учебника Дорофеев, Суворова, Бунимович 7 класс, Просвещение:
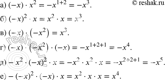
Упростите выражение:
а) (-х) * х2;
б) (-х)2 * х;
в) (-х) * (-x2);
г) (-х) * (-х2) * (-x);
д) -х2 * (-х)2 * х;
е) -(-х)2 * (-x) * х.
Популярные решебники 7 класс Все решебники
*размещая тексты в комментариях ниже, вы автоматически соглашаетесь с пользовательским соглашением