Упр.6.4 ГДЗ Дорофеев Суворова 7 класс (Алгебра)
Решение #1

Рассмотрим вариант решения задания из учебника Дорофеев, Суворова, Бунимович 7 класс, Просвещение:
Действуем по правилу (529—530)
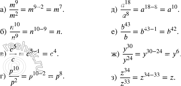
529 Частное степеней замените степенью с тем же основанием:
а) m9/m2;
б) n10/n9;
в) c5/c;
г) p10/p2;
д) a18/a8;
е) b43/b;
ж) y30/y24;
з) z34/z33.
Популярные решебники 7 класс Все решебники
*размещая тексты в комментариях ниже, вы автоматически соглашаетесь с пользовательским соглашением