Упр.6.10 ГДЗ Дорофеев Суворова 7 класс (Алгебра)
Решение #1

Рассмотрим вариант решения задания из учебника Дорофеев, Суворова, Бунимович 7 класс, Просвещение:
Рассуждаем (537—538)
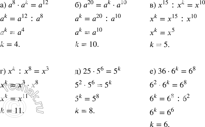
537 При каком значении k верно равенство:
а) а8 * аk — а12;
б) а20 = аk * а10;
в) х15: хk = х10;
г) хk : х8 = х3;
д) 25 * 5^6 = 5k;
е) 36 * 6k = 6^8?
Популярные решебники 7 класс Все решебники
*размещая тексты в комментариях ниже, вы автоматически соглашаетесь с пользовательским соглашением