Упр.6.57 ГДЗ Дорофеев Суворова 7 класс (Алгебра)
Решение #1

Рассмотрим вариант решения задания из учебника Дорофеев, Суворова, Бунимович 7 класс, Просвещение:
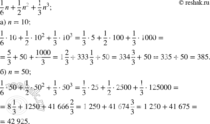
Сумму квадратов натуральных чисел от 1 до n можно вычислить по формуле
1^2 + 2^2 + 3^2 + ... + n2 = 1/6*n + 1/2*n2 + 1/3*n3.
Вычислите сумму квадратов натуральных чисел для:
а) n = 10; б) n = 50.
Популярные решебники 7 класс Все решебники
*размещая тексты в комментариях ниже, вы автоматически соглашаетесь с пользовательским соглашением