Упр.6.63 ГДЗ Дорофеев Суворова 7 класс (Алгебра)
Решение #1

Рассмотрим вариант решения задания из учебника Дорофеев, Суворова, Бунимович 7 класс, Просвещение:
Действуем по правилу (654—657)
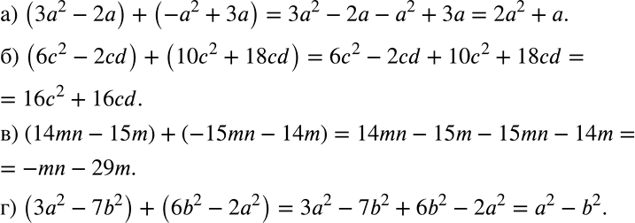
654 Выполните сложение:
а) (3а2- 2а)4- (-а2 + 3а);
б) (6с2- 2cd) +(10с2 + 18cd);
в) (14mn- 15m) + (-15mn- 14m);
г) (3а2 - 7b2) + (6b2 - 2а2).
Популярные решебники 7 класс Все решебники
*К сожалению, временные проблемы с публикацией комментариев с мобильных устройств.