Упр.6.53 ГДЗ Дорофеев Суворова 7 класс (Алгебра)
Решение #1

Рассмотрим вариант решения задания из учебника Дорофеев, Суворова, Бунимович 7 класс, Просвещение:
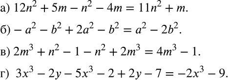
Приведите подобные члены многочлена (644—645).
644 а) 12n2 + 5m - n2 - 4m;
б) -а2 - b2 + 2а2 - b2;
в) 2m3 + n2 - 1 - n2 + 2m3;
г) 3х3 - 2у - 5х3 - 2 + 2у - 7.
Популярные решебники 7 класс Все решебники
*размещая тексты в комментариях ниже, вы автоматически соглашаетесь с пользовательским соглашением