Упр.6.56 ГДЗ Дорофеев Суворова 7 класс (Алгебра)
Решение #1

Рассмотрим вариант решения задания из учебника Дорофеев, Суворова, Бунимович 7 класс, Просвещение:
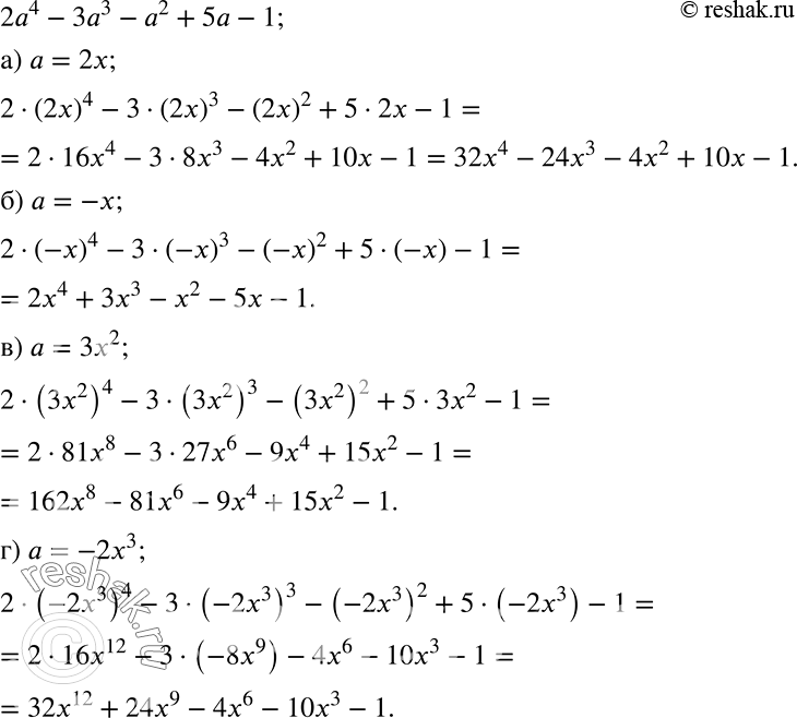
Дан многочлен 2а4 - 3а3 - а2 + 5а - 1. Подставьте вместо а заданное выражение и приведите многочлен к стандартному виду:
а) 2х;
б) -х;
в) 3х2;
г) -2х3.
Популярные решебники 7 класс Все решебники
*размещая тексты в комментариях ниже, вы автоматически соглашаетесь с пользовательским соглашением