Упр.6.55 ГДЗ Дорофеев Суворова 7 класс (Алгебра)
Решение #1

Рассмотрим вариант решения задания из учебника Дорофеев, Суворова, Бунимович 7 класс, Просвещение:
Упростите:
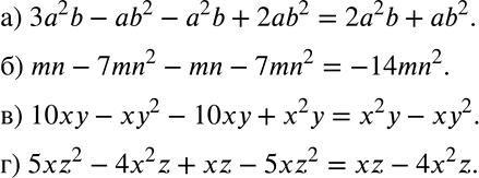
а) 3а2b - аb2 - а2b + 2аb2;
б) mn - 7mn2 - mn - 7mn2;
в) 10ху - ху2 - 10ху + х2у;
г) 5xz2 - 4х2z + xz - 5xz2.
Популярные решебники 7 класс Все решебники
*К сожалению, временные проблемы с публикацией комментариев с мобильных устройств.