Упр.6.27 ГДЗ Дорофеев Суворова 7 класс (Алгебра)
Решение #1

Рассмотрим вариант решения задания из учебника Дорофеев, Суворова, Бунимович 7 класс, Просвещение:
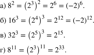
Применяем алгебру Представьте в виде степени с основанием 2 и, если возможно, с основанием -2:
а) 8^2; б) 16^3; в) 32^3; г) 8^11.
Популярные решебники 7 класс Все решебники
*размещая тексты в комментариях ниже, вы автоматически соглашаетесь с пользовательским соглашением